首先感謝朋友們對第一篇文章的鼎力支持,感動中....... 
今天說的是選擇排序,包括“直接選擇排序”和“堆排序”。
話說上次“冒泡排序”被快排虐了,而且“快排”贏得了內庫的重用,眾兄弟自然眼紅,非要找快排一比高下。
這不今天就來了兩兄弟找快排算賬。
1.直接選擇排序:
先上圖:

說實話,直接選擇排序最類似于人的本能思想,比如把大小不一的玩具讓三歲小毛孩對大小排個序,
那小孩首先會在這么多玩具中找到最小的放在第一位,然后找到次小的放在第二位,以此類推。。。。。。
,小孩子多聰明啊,這么小就知道了直接選擇排序。羨慕中........
對的,小孩子給我們上了一課,
第一步: 我們拿80作為參照物(base),在80后面找到一個最小數20,然后將80跟20交換。
第二步: 第一位數已經是最小數字了,然后我們推進一步在30后面找一位最小數,發現自己最小,不用交換。
第三步:........
最后我們排序完畢。大功告成。
既然是來挑戰的,那就5局3勝制。
復制代碼 代碼如下:
using System;
using System.Collections.Generic;
using System.Linq;
using System.Text;
using System.Threading;
using System.Diagnostics;
namespace SelectionSort
{
public class Program
{
static void Main(string[] args)
{
//5次比較
for (int i = 1; i = 5; i++)
{
Listint> list = new Listint>();
//插入2w個隨機數到數組中
for (int j = 0; j 20000; j++)
{
Thread.Sleep(1);
list.Add(new Random((int)DateTime.Now.Ticks).Next(1000, 1000000));
}
Console.WriteLine("\n第" + i + "次比較:");
Stopwatch watch = new Stopwatch();
watch.Start();
var result = list.OrderBy(single => single).ToList();
watch.Stop();
Console.WriteLine("\n快速排序耗費時間:" + watch.ElapsedMilliseconds);
Console.WriteLine("輸出前十個數:" + string.Join(",", result.Take(10).ToList()));
watch.Start();
result = SelectionSort(list);
watch.Stop();
Console.WriteLine("\n直接選擇排序耗費時間:" + watch.ElapsedMilliseconds);
Console.WriteLine("輸出前十個數:" + string.Join(",", list.Take(10).ToList()));
}
}
//選擇排序
static Listint> SelectionSort(Listint> list)
{
//要遍歷的次數
for (int i = 0; i list.Count - 1; i++)
{
//假設tempIndex的下標的值最小
int tempIndex = i;
for (int j = i + 1; j list.Count; j++)
{
//如果tempIndex下標的值大于j下標的值,則記錄較小值下標j
if (list[tempIndex] > list[j])
tempIndex = j;
}
//最后將假想最小值跟真的最小值進行交換
var tempData = list[tempIndex];
list[tempIndex] = list[i];
list[i] = tempData;
}
return list;
}
}
}
比賽結果公布:

堆排序:
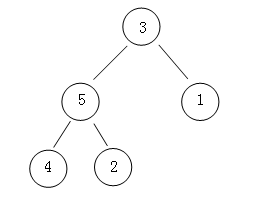
要知道堆排序,首先要了解一下二叉樹的模型。
下圖就是一顆二叉樹,具體的情況我后續會分享的。

那么堆排序中有兩種情況(看上圖理解):
大根堆: 就是說父節點要比左右孩子都要大。
小根堆: 就是說父節點要比左右孩子都要小。
那么要實現堆排序,必須要做兩件事情:
第一:構建大根堆。
首先上圖:

首先這是一個無序的堆,那么我們怎樣才能構建大根堆呢?
第一步: 首先我們發現,這個堆中有2個父節點(2,,3);
第二步: 比較2這個父節點的兩個孩子(4,5),發現5大。
第三步: 然后將較大的右孩子(5)跟父節點(2)進行交換,至此3的左孩子堆構建完畢,
如圖:

第四步: 比較第二個父節點(3)下面的左右孩子(5,1),發現左孩子5大。
第五步: 然后父節點(3)與左孩子(5)進行交換,注意,交換后,堆可能會遭到破壞,
必須按照以上的步驟一,步驟二,步驟三進行重新構造堆。
最后構造的堆如下:

第二:輸出大根堆。
至此,我們把大根堆構造出來了,那怎么輸出呢?我們做大根堆的目的就是要找出最大值,
那么我們將堆頂(5)與堆尾(2)進行交換,然后將(5)剔除根堆,由于堆頂現在是(2),
所以破壞了根堆,必須重新構造,構造完之后又會出現最大值,再次交換和剔除,最后也就是俺們
要的效果了,
發現自己兄弟被別人狂毆,
,堆排序再也坐不住了,決定要和快排干一場。
同樣,快排也不甘示弱,誰怕誰?
復制代碼 代碼如下:
using System;
using System.Collections.Generic;
using System.Linq;
using System.Text;
using System.Threading;
using System.Diagnostics;
namespace HeapSort
{
public class Program
{
static void Main(string[] args)
{
//5次比較
for (int j = 1; j = 5; j++)
{
Listint> list = new Listint>();
//插入2w個數字
for (int i = 0; i 20000; i++)
{
Thread.Sleep(1);
list.Add(new Random((int)DateTime.Now.Ticks).Next(1000, 100000));
}
Console.WriteLine("\n第" + j + "次比較:");
Stopwatch watch = new Stopwatch();
watch.Start();
var result = list.OrderBy(single => single).ToList();
watch.Stop();
Console.WriteLine("\n快速排序耗費時間:" + watch.ElapsedMilliseconds);
Console.WriteLine("輸出前十個數" + string.Join(",", result.Take(10).ToList()));
watch = new Stopwatch();
watch.Start();
HeapSort(list);
watch.Stop();
Console.WriteLine("\n堆排序耗費時間:" + watch.ElapsedMilliseconds);
Console.WriteLine("輸出前十個數" + string.Join(",", list.Take(10).ToList()));
}
}
///summary>
/// 構建堆
////summary>
///param name="list">待排序的集合/param>
///param name="parent">父節點/param>
///param name="length">輸出根堆時剔除最大值使用/param>
static void HeapAdjust(Listint> list, int parent, int length)
{
//temp保存當前父節點
int temp = list[parent];
//得到左孩子(這可是二叉樹的定義,大家看圖也可知道)
int child = 2 * parent + 1;
while (child length)
{
//如果parent有右孩子,則要判斷左孩子是否小于右孩子
if (child + 1 length list[child] list[child + 1])
child++;
//父親節點大于子節點,就不用做交換
if (temp >= list[child])
break;
//將較大子節點的值賦給父親節點
list[parent] = list[child];
//然后將子節點做為父親節點,已防止是否破壞根堆時重新構造
parent = child;
//找到該父親節點較小的左孩子節點
child = 2 * parent + 1;
}
//最后將temp值賦給較大的子節點,以形成兩值交換
list[parent] = temp;
}
///summary>
/// 堆排序
////summary>
///param name="list">/param>
public static void HeapSort(Listint> list)
{
//list.Count/2-1:就是堆中父節點的個數
for (int i = list.Count / 2 - 1; i >= 0; i--)
{
HeapAdjust(list, i, list.Count);
}
//最后輸出堆元素
for (int i = list.Count - 1; i > 0; i--)
{
//堆頂與當前堆的第i個元素進行值對調
int temp = list[0];
list[0] = list[i];
list[i] = temp;
//因為兩值交換,可能破壞根堆,所以必須重新構造
HeapAdjust(list, 0, i);
}
}
}
}
結果公布:

堆排序此時心里很尷尬,雙雙被KO,心里想,一定要撈回面子,一定要贏,
于是堆排序提出了求“前K大問題”。(就是在海量數據中找出前幾大的數據),
快排一口答應,小意思,沒問題。
雙方商定,在2w隨機數中找出前10大的數:
復制代碼 代碼如下:
using System;
using System.Collections.Generic;
using System.Linq;
using System.Text;
using System.Threading;
using System.Diagnostics;
namespace QuickSort
{
public class Program
{
static void Main(string[] args)
{
//5此比較
for (int j = 1; j = 5; j++)
{
Listint> list = new Listint>();
for (int i = 0; i 20000; i++)
{
Thread.Sleep(1);
list.Add(new Random((int)DateTime.Now.Ticks).Next(1000, 100000));
}
Console.WriteLine("\n第" + j + "次比較:");
Stopwatch watch = new Stopwatch();
watch.Start();
var result = list.OrderByDescending(single => single).Take(10).ToList();
watch.Stop();
Console.WriteLine("\n快速排序求前K大耗費時間:" + watch.ElapsedMilliseconds);
Console.WriteLine("輸出前十個數:" + string.Join(",", result.Take(10).ToList()));
watch = new Stopwatch();
watch.Start();
result = HeapSort(list, 10);
watch.Stop();
Console.WriteLine("\n堆排序求前K大耗費時間:" + watch.ElapsedMilliseconds);
Console.WriteLine("輸出前十個數:" + string.Join(",", list.Take(10).ToList()));
}
}
///summary>
/// 構建堆
////summary>
///param name="list">待排序的集合/param>
///param name="parent">父節點/param>
///param name="length">輸出根堆時剔除最大值使用/param>
static void HeapAdjust(Listint> list, int parent, int length)
{
//temp保存當前父節點
int temp = list[parent];
//得到左孩子(這可是二叉樹的定義哇)
int child = 2 * parent + 1;
while (child length)
{
//如果parent有右孩子,則要判斷左孩子是否小于右孩子
if (child + 1 length list[child] list[child + 1])
child++;
//父節點大于子節點,不用做交換
if (temp >= list[child])
break;
//將較大子節點的值賦給父親節點
list[parent] = list[child];
//然后將子節點做為父親節點,已防止是否破壞根堆時重新構造
parent = child;
//找到該父節點左孩子節點
child = 2 * parent + 1;
}
//最后將temp值賦給較大的子節點,以形成兩值交換
list[parent] = temp;
}
///summary>
/// 堆排序
////summary>
///param name="list">待排序的集合/param>
///param name="top">前K大/param>
///returns>/returns>
public static Listint> HeapSort(Listint> list, int top)
{
Listint> topNode = new Listint>();
//list.Count/2-1:就是堆中非葉子節點的個數
for (int i = list.Count / 2 - 1; i >= 0; i--)
{
HeapAdjust(list, i, list.Count);
}
//最后輸出堆元素(求前K大)
for (int i = list.Count - 1; i >= list.Count - top; i--)
{
//堆頂與當前堆的第i個元素進行值對調
int temp = list[0];
list[0] = list[i];
list[i] = temp;
//最大值加入集合
topNode.Add(temp);
//因為順序被打亂,必須重新構造堆
HeapAdjust(list, 0, i);
}
return topNode;
}
}
}
求前K大的輸出結果:

最后堆排序趕緊拉著直接選擇排序一路小跑了,因為求前K大問題已經不是他原本來的目的。
ps: 直接選擇排序的時間復雜度為:O(n^2)
堆排序的時間復雜度:O(NlogN)
您可能感興趣的文章:- 算法系列15天速成 第十四天 圖【上】
- 算法系列15天速成——第十三天 樹操作【下】
- 算法系列15天速成 第十二天 樹操作【中】
- 算法系列15天速成 第十一天 樹操作(上)
- 算法系列15天速成 第十天 棧
- 算法系列15天速成 第八天 線性表【下】
- 算法系列15天速成 第九天 隊列
- 算法系列15天速成 第七天 線性表【上】
- 算法系列15天速成 第六天 五大經典查找【下】
- 算法系列15天速成 第五天 五大經典查找【中】
- 算法系列15天速成 第四天 五大經典查找【上】
- 算法系列15天速成 第三天 七大經典排序【下】
- 算法系列15天速成 第一天 七大經典排序【上】
- 算法系列15天速成——第十五天 圖【下】(大結局)